Chất bảo quản Kali sorbate, hay còn được gọi là chất bảo quản INS 202 do Ủy ban Tiêu chuẩn thực phẩm quốc tế quy định, thuộc nhóm Sorbates.
Đây là một trong những chất bảo quản thuộc danh mục phụ gia thực phẩm được phép sử dụng trong thực phẩm do Bộ Y tế ban hành. Chất bảo quản Potassium Sorbate là muối của acid sorbic, có tác dụng tương tự trong việc chống vi sinh vật sinh sôi phát triển gây nấm mốc thực phẩm. Mua chất bảo quản kali sorbate ở đâu chất lượng, uy tín chúng ta cùng tìm hiểu qua bài viết này nha.
CHẤT BẢO QUẢN E202 (Potassium Sorbate – Kali Sorbate) là muối kali của acid benzencarboxyic, muối kali của acid phenylcarboxylic, có khả năng chuyển hóa thành acid sorbic trong điều kiện nhất định.
Tên hóa học: Kali sorbat; Muối kali của acid trans, trans-2,4-hexadienoic(1), tên thương mại: Kali sorbat.
Mô tả: Dạng tinh thể, bột tinh thể hoặc hạt nhỏ có màu trắng hoặc trắng hơi vàng
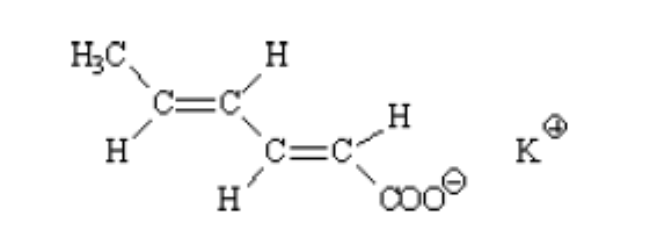
Chỉ số quốc tế: E202 Công thức hóa học: C6H7KO2

(Cấu tạo phân tử)
Khối lượng phân tử: 150,22 g / mol
Lĩnh vực: Phụ gia thực phẩm: Chất bảo quản
Mức nóng chảy: 132-135°C là khoảng nhiệt độ nóng chảy của acid sorbic lấy ra từ mẫu thử Độ tan: Tan tốt trong nước 58,2g/100ml (20°C); 65g/100ml (100°C); tan trong ethanol
ỨNG DỤNG CHẤT BẢO QUẢN KALI SORBATE
– Chất bảo quản E202 nằm trong Danh mục phụ gia được phép sử dụng trong thực phẩm, quy định trong Phụ lục 2A –MỨC SỬ DỤNG TỐI ĐA PHỤ GIA TRONG THỰC PHẨM (Ban hành kèm theo Thông tư số 24/2019/TT-BYT
– Potassium Sorbate có tác dụng gây ức chế nấm mốc và nấm men, ít có tác dụng với vi khuẩn. Có thể ngâm tẩm thực phẩm, phun lên bề mặt thực phẩm hoặc trộn chung với thành phần thực phẩm trong quá trình chế biến. Tùy trường hợp cụ thể mà nó có thể được dùng dưới dạng hòa tan hay hạt tinh thể.
- Kali sorbate được sử dụng để ức chế nấm mốc và nấm men trong nhiều loại thực phẩm như trong sản xuất pho-mát, kem chua, bánh mì, bánh ngọt, bánh có nhân, bột bánh nướng, bột nhồi, kẹo mềm, bánh kem, bia, nước giải khát, bơ thực vật magarine, dầu dấm trộn, củ quả làm chua hoặc lên men, quả olive, cá muối hoặc xông khói, bánh kẹo, sốt mayonnaise.
- Kali sorbate là chất bảo quản được sử dụng trong các sản phẩm giò chả, nem chua
MUA CHẤT BẢO QUẢN KALI SORBATE Ở ĐÂU?
Việt Úc JSC luôn là nhà cung cấp uy tín, đối tác đáng tin cậy song hành cùng sự thành công của khách hàng. Công ty cam kết chỉ sản xuất, cung cấp các sản phẩm đảm bảo chất lượng. Nguồn gốc rõ ràng, đã qua kiểm định, an toàn về sức khỏe, được cục an toàn thực phẩm bộ y tế cấp phép.

Chúng tôi là một trong những nhà nhập khẩu trực tiếp chất bảo quản Kali Sorbate, đảm bảo được chất lượng, nguồn hàng ổn định, giá cả cạnh tranh với thị trường..
Phụ gia thực phẩm Kali Sorbate là sản phẩm hoàn toàn đáp ứng được các yêu cầu để tạo ra thành phẩm chất lượng , giảm hao hụt sau khi nấu và quan trọng hơn nữa là có được hương vị thơm ngon và màu sắc bắt mắt.
Tuy nhiên, bạn cần lưu ý rằng, mặc dù các chất phụ gia đã được bộ y tế công nhận là đảm bảo an toàn tuyệt đối cho người sử dụng, nhưng bạn cũng chỉ nên sử dụng với một liều lượng thích hợp, tuyệt đối không nên quá lạm dụng. Để được tư vấn sử dụng một cách chính xác nhất về liều lượng cũng như công thức chế biến sản xuất Quý khách có thể liên hệ trực tiếp tới Hotline của Việt Úc 098.155.1636 để gặp ngay Chuyên gia nghiên cứu thực phẩm.
Quý Khách Mua Hàng Liên Hệ:
CÔNG TY CỔ PHẦN XUẤT NHẬP KHẨU HƯƠNG LIỆU VIỆT ÚC
(Viet Australia Flavor Import Export .,.Jsc)
Địa chỉ : Ngõ 512 Ngọc Hồi, TT. Văn Điển, H. Thanh Trì,Tp. Hà Nội.
Hotline : 0981.551.636
Email : chemecalsvietuc@gmail.com
Website : https://vietucjsc.com
Việt Úc là nhà cung cấp uy tín, đối tác đáng tin cậy song hành cùng sự thành công của Quý khách!
Viết bình luận
Bình luận
Nam
04/04/2024 Bảo nhiều 1kg kali sobar vậy